特高压输电线路不可避免的会途经一些易覆冰雪地区,包括一些高海拔地区。解决输电线路覆冰雪对电网安全运行造成影响的问题,成为了近年来电力行业广泛关注的对象。关于绝缘子覆雪闪络特性及机理的研究,需要使用绝缘子人工气候室。下面是一些我国的绝缘子闪络试验,供参考。
研究主题:绝缘子闪络试验
试验设备: 绝缘子闪络试验人工气候室
.jpg)
研究背景:近几十年来,我国部分长距离、大容量超高压/特高压输电线路被迫穿越重冰雪污染地区,受输电线路走廊沿线微地形、微气象的影响,特别是山区,绝缘子串上积垢、积雪或冰雪叠加,导致输电线路绝缘强度显著下降。持续雨雪天气,部分地区降雪深度突破历史极值,引发断线、倒塔、线路跳闸、绝缘子串闪络、通讯故障等一系列事故。
闪络测试:本文采用U型法获得雪覆盖绝缘子的闪络电压。
程序如下:
打开密封门,将气候室中的温度升高至约-2℃。然后,升温速率控制在0.5℃/5min。采用升压法对积雪绝缘子进行闪络试验。为了防止雪层融化对结果的影响,相邻闪络试验的间隔时间为1~2 min。当获得多个闪络电压值Ufi时,Ufi与闪络时间的关系呈U型曲线,最低点即为最低闪络电压最小U:
Umin=Min(Uf1,Uf2,Uf3...Ufn)
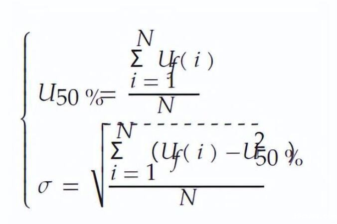
根据实验结果,雪覆绝缘子各串的50%闪络电压U 50%及其标准差σ可由下式求得:

式中,Ufi为第i个最小闪络电压;N是总有效时间。
闪络试验中使用的交流电源是无电晕污染试验变压器。其标称容量、额定电压、额定电流分别为2000kVA、500kV、4A。采用额定电压±600 kV、额定电流0.5 A的电源进行直流闪络试验。

研究结果表明,污染绝缘子和覆冰绝缘子的直流闪络电压均存在极性效应。对于短绝缘子串,负闪络电压低于正闪络电压。因此,为了考虑最坏情况,施加在雪地绝缘子上的电压类型为直流负极性。








