液压软管总成一般由内管、增强层、接头等组成,由于受到液压冲击、工作环境温度、油液压力、载荷弯曲与扭转等多场应力的综合影响,液压软管总成会出现泄漏、拔脱、断丝、 爆破等故障/失效模式,因此在设计过程中需要进行可靠性试验,下面对软管总成的爆破试验做试验设计讲解。
试验设备: 软管总成耐压爆破试验系统
试验依据:GB/T 7939.3-2023 液压传动连接 试验方法 第3部分:软管总成
耐压爆破试验设计:
选择一批通径为10 mm、长度为805 mm、最大工作压力为28 MPa的聚四氟乙烯软管总成进行耐压爆破试验,试验要求见下表。
1.耐压试验。在设定的保压时间60 s内,5根聚四氟乙烯软管总成均未出现泄漏等故障现象, 耐压性达到了设计要求。
2.爆破试验。12根聚四氟乙烯软管总成的爆破压力分别为: 104、106、113、121、124、132、138、 143、145、159、166、178 MPa。
耐压爆破试验可靠性评估:
对该组爆破试验数据进行拟合优度检验和分布鉴别,求得该组数据服从威布尔分布。对两参数威布尔分布作点估计,采用适用完全样本的最佳线性不变 估计 ( best linear invariant estimate, BLIE) 法对上述聚四氟乙烯软管总成的爆破性能进行可靠性评估。
先将W( m,η) 变换为极值分布,记为EV( μ, σ) ,即若T服从W( m,η) 分布,则X = ln T服从EV( μ,σ) 分布的参数的BLIEμ*、σ*分别为
η 的 BLIE 为
m的无偏估计为
其中,DI( n,r,j),CI( n,r,j) 为权数,gr,n是修偏系数。
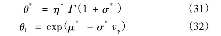
(1) 平均寿命的点估计与置信下限分别为
由式(31) 求得平均 寿命的点 估计 θ*为136. 621 MPa; 置信度为0. 9时,威布尔截尾样本区间估计系数vγ= 0. 47,由式(32) 得,平均寿命 θ 的置信下限 θL为136. 302 MPa。
(2) 可靠寿命的点估计与置信下限分别为
当n = 12,R = 0. 95(给定可靠度),1 - α = 0. 9时,由式(33) 得,可靠寿命XR的点估计X*R为91. 195 MPa。
当 n = 12,r = 12,1 - α = 0. 9,R = 0. 95 时,VR,γ= 4. 68,则由式(34) 得,可靠寿命XR在置信度为1 - α = 0. 9下的置信下限XR,L为69. 281 MPa。
(3) 可靠度的点估计为
对给定的爆破压力X = 80 MPa,由式( 35) 得可靠度点估计R*( X) 为0. 978。
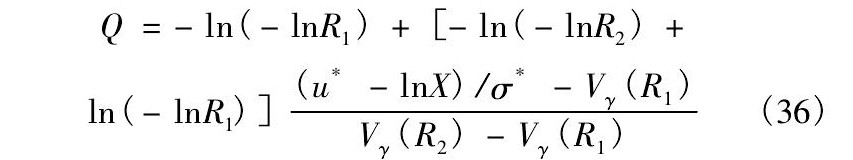
由 n = 12,r = 12,1 - α = 0. 9,得( μ*ln X) / σ*= 3. 785; 然后,对给定的n、r、γ,通过反查Vγ( R) - R表,找到包含( μ*- ln X) / σ*的最短区间[Vγ( R1) ,Vγ( R2) ]及相应的R1、R2,并计算出 - ln( - lnR1) 、- ln( - lnR2),填入下表。则有
则有
可靠度的置信下限为
由式( 36) 、式( 37) 可求得Q = 2. 362,可靠度置信下限RL( X) = 0. 910。
由以上分析可知:上述聚四氟乙烯软管总成的平均爆破压力为136. 621 MPa,在置信度为0. 9下的置信下限 为136. 302 MPa;
给定可靠 度为0. 95时,其可靠寿命的点估计为91. 195 MPa、置信下限为69. 281 MPa;
给定压力80 MPa时,其可靠度的点估计为0. 978,置信下限为0. 910。
以上就是软管总成的爆破可靠性试验设计,如有试验疑问,可以咨询相关技术人员。



















